He broke in, ‘bled on several places inside the home,’ caught ‘wearing the victim’s shoes,’ cops say
Florida man crimes

By LENNY COHEN
CLEARWATER, Fla. (CohenConnect) – The young man’s trouble started days before Thanksgiving, a year ago.
Dylan Lee Smith “broke into the victim’s home” in Florida, the arrest report said, sometime “between the dates and times of 11/20/23-11/21/23, 2100-0730 hours.”
Also, Smith knew the victim, and the victim knew his family. How they knew each other was not mentioned.
“The defendant broke a window by unknown means, entered the residence, and took a PlayStation 4, two controllers, a pair of green and white Nike Airs, and a black and white Reebok backpack.
“The defendant cut himself on the window and bled on several places inside the home.
“The victim suspected the defendant immediately based on an odd interaction they had the day prior on 11/20/23.
“The victim contacted the defendant’s mother and continued to be in contact with her while the defendant requested he be picked up by her.”
Then, a police officer wrote, “The victim provided me with the defendant’s current address. I arrived at the defendant’s current location.
“When the defendant was contacted, he was wearing the victim’s shoes.
“The defendant had multiple cuts on the inside of his palms, consistent with handling broken glass and the amount of blood present inside the home.”
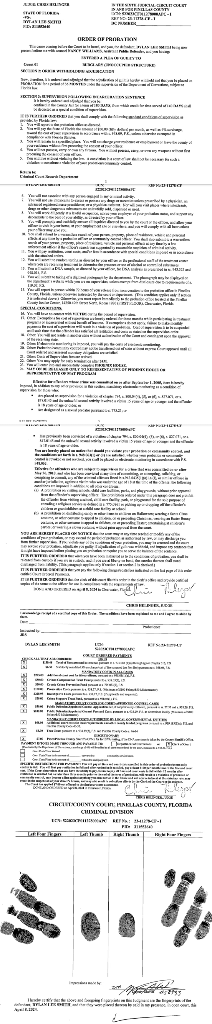
Smith was arrested for felony burglary, but he didn’t stay in jail long, and was ordered to have no contact with the victim.

Then, this past April, he took a plea deal and filled out the terms on a Plea Form in his own handwriting. Among them, on Page 1, the maximum sentence of five years in prison; and on Page 2, he was expecting three years of probation as part of his sentence.

Smith paid $540 in restitution, avoided jail, and was issued an Order of Probation. Among the terms, on Page 2, was to “enter into and successfully complete” outpatient treatment at a place called Phoenix House.
That was his first violation.
Paperwork from Aug. 30 said he “was unsuccessfully discharged from Phoenix House on 08/24/2024.”
That was grounds for an arrest warrant, signed Sept. 24, with Smith held without bond when caught.
He was caught four days later after a clerk at a gas station called police about two people trespassing.
The report said an officer “made contact with both subjects standing outside of the store, where the clerk advised they were.” One got lucky; he “was issued a trespass warning and escorted off the premises without incident.”
The other was Smith, and his situation was about to go from bad to worse.

The officer found out about the “active warrant out of Pinellas County” and arrested him.
Then, “A search of the defendant’s person subsequent to arrest” turned up his wallet with “a small clear plastic bag containing a clear rock-like substance,” the officer wrote, recognizing it “as an illicit narcotic,” that tested presumptive positive for methamphetamine.
And in his black backpack, there was reportedly “a clear glass smoking apparatus with a burnt residue inside of the bulb extension.”
Smith was charged with possession of a controlled substance-methamphetamine and possession of drug paraphernalia.

Those two charges became two additional probation violations for when he’s returned to Pinellas County.
That could take years.
Smith, 23, has been in jail in Lake County ever since.
More from Lenny Cohen on CohenConnect and NewsBreak!

About the Creator
Lenny Cohen
"Every person's story deserves to be a masterpiece, even if they don’t want it told"
FloridaFreaks.com & Facebook.com/LennyCohenNews
Accomplished news writer/producer
Reporter, columnist, thinker, agenda-setter. Ex-teacher.


Comments
There are no comments for this story
Be the first to respond and start the conversation.