Microbiomics For Modeling The Growth Of Bacteria In Enrichments
An Exciting Paper Shows The Possibilities

Author's preface: This piece was originally published way back in 2017 but I believe is still highly relevant. Republishing here on Vocal so others can judge for themselves.

The importance of enrichments in food pathogen diagnostics
Few persons outside of the world of food microbiology diagnostics are aware of just how important, and yet poorly understood, food enrichments are to the detection and isolation of food borne pathogens. As the least sexy part of the most complicated and least sexy aspect (sample prep) of the testing process, sample enrichment has received much less attention in terms of research dollars spent and papers published. Much of that neglect is directly related to the difficulty inherent in studying enrichments and the lack of molecular or other tools to do so. This paper presents an intriguing option for opening up a bit the black box of enrichment and may give specific clues for routes to improve the speed and/or sensitivity of enrichments for L. monocytogenes and suggest possible options for improvements in all bacterial food enrichments.
Before we dive into the specifics of what makes this such a difficult problem it is helpful to understand a bit about why testing for pathogens in foods requires enrichment in the first place. There are several reasons for this. The first is that (at least in the United States) the major, regulated food pathogens (E. coli O157:H7+big six STEC, Listeria monocytogenes, and Salmonella) are what are known as “zero tolerance” organisms. Zero tolerance simply means that the presence of even 1 target cell of the pathogen per analytical volume is enough to consider the sample being tested adulterated. Once a particular food is adulterated it triggers a host of regulatory and industry specific steps all designed to keep the particular commodity out of commerce or recall it if it has already been sent to market.
The requirement to detect a single target cell out of any analytical volume (in food this is typically 25g to 375g) is one of the reasons enrichment is required. There is no diagnostic method currently available capable of detecting a single cell in 25g, let alone 375g of food matrix. This is not because single cell detection sensitivity methods do not exist, many in fact do, however it is the complexity of the food matrix (its mass and diversity) that prevents any of these systems from even coming close to meeting the requirement without significant and prohibitively complex or expensive sample preparation steps. Enrichment works by diluting the sample matrix while at the same time greatly increasing the numbers of the target to be detected. It does both things very cheaply and very effectively. The speed of enrichment is mostly determined by the biology of the microorganism being tested for. The gram negative pathogens (E. coli and Salmonella) double quite quickly, on the order of 20 minutes in exponential (optimal) growth phase under ideal conditions, while the gram positive pathogen Listeria, grows much more slowly taking up to 45 minutes or longer to double in population. In addition to doubling time there is a delay in the time from when the pathogen is first exposed to the enrichment media and when it starts growing/doubling. This is known as the lag time or lag phase. This time can vary considerably among pathogens, in different foods, and according to the degree of injury/stress of any particular pathogen or pathogen population.
Another important consideration for food pathogen testing that impacts the decision to use enrichments (though is mostly overshadowed by the zero tolerance requirement) is that for a food to be considered adulterated the pathogen of interest need not only be present it must also be viable. In other words it must be alive. Assuming for a moment some very clever person or company could devise a method for direct detection of a single pathogen cell in a 25g food sample not only would it need to be able to detect that single cell it also would need to be able to indicate that the cell is alive. Simply put a dead food pathogen (of the kind we are discussing here) cannot cause disease. That is not true of all food pathogens, for instance, those that produce toxins such as Staphylococcus need not be present or alive for their toxins to cause food poisoning when consumed. Only viable/living cells are capable of metabolizing nutrients and growing/dividing, therefore only viable cells can be expected to grow when enrichment media is added and the enrichment process is begun. Those that are dead will not metabolize or multiply. Therefore post enrichment anything that is detected was presumably alive at time zero.
The final, and perhaps most important reason, which was already touched on to some degree and basically intersects with and overlaps everything else, is the complexity/diversity of the food matrix itself. Food enrichments are extremely complex to put it mildly. Consider the food matrix itself, think about the variety of foods that you eat in a given week, a given day. Add to that the diversity of beverages that you drink. Now, ask yourself how you would classify each of those things, solid, liquid, gel, something else? Take all of that complexity and multiply it by the diversity of diets represented by various groups across the United States and the world. In the end we have a staggering array of matrix types representing just about every form of normal matter and containing almost every edible ingredient mankind has yet discovered. Next throw in the microbiological component. Each of those ingredients may have its own, unique microflora associated with it. That flora may consist of hundred, or thousands, or millions or more unique species of microbes. When the ingredients are combined the overall flora may change yet again as competition and cooperation between all of the microbes presents shifts and fluxes. Few tools exist that allow us to deconstruct in detail what is actually happening in terms of the microbiology. Culture based approaches can tell us something but ultimately leave a big gap in our knowledge because of the limitations inherent to them, including the role of viable but non culturable cells and the selection bias inherent to whatever particular medium is used. The media will always favor those microbes, or groups of microbes that prefer that particular mix of nutrients and/or that particular growth temperature/growth conditions.

The paper and its findings
Having dispensed with all that necessary background and introductory material we can finally dive into the paper and see what it can tell us. Whenever I read a scientific journal article I typically start with the abstract. The abstract can be formatted a bit differently depending on the journal but essentially they all contain the same three main components. A very brief introduction to the problem/the hypothesis, a high level results overview, and the major conclusion(s). In this case the problem is stated in the first sentence. Bacteria that co-enrich with pathogens during efforts to recover them from food samples implicated in food borne outbreak investigations interfere with detection and recovery of the pathogen of interest. They then go on to describe what they did in an attempt to better understand why this is the case in the hope that they could learn something about how to circumvent that issue in the future. The state that they will be using naturally contaminated w/L. monocytogenes ice cream samples as the test material and describe a little bit of the methods they will be using. Since this is what I call a “learn and churn” type paper, they do not state a hypothesis outright. Basically they are just trying to learn as much as they can about a given system and are trying not to bias what they may or may not learn by suggesting what they think might be happening going in to the work. Essentially their hypothesis is that the analysis they are doing (microbiomics) will improve the understanding of this enrichment system and give them a new/unique understanding of the dynamics of the system which should allow for future improvements in recovery of Listeria in contaminated food samples. The beauty of the learn and churn approach is that basically no matter what happens you will get publishable data in the end. Usually one only sees this type of paper when a new technology or new technique or method is tried for the first time and what the results might be are essentially totally unknown going in. The downside can be a lack of focus and data that really doesn’t tell you much because it is too broad or non-specific. Fortunately that is not the case with this particular study and it produces a treasure trove of interesting and actionable data. Actionable in the sense that it can trigger another set or sets of additional studies to look more closely at specific aspects of these results.
Following the abstract most journal articles have an introduction section. In my opinion, this is the least important part of any research paper, particularly if you have even a passing familiarity with the research area. It can be a good resource for additional information, references, etc. and a well written one can give a person totally new to the topic some needed grounding. I typically skim it and go to the next step, a quick scan of all the tables and figures. This is not a deep dive and I don’t spend a whole lot of time at this point but I like to get a sense for the data intensity or not of the work, and the authors style in terms of data presentation. In the case of this paper I could tell almost immediately that I could essentially ignore the two tables and that the figures told virtually the entire story of the work in an easy to understand and visually appealing format.
Based on my read of the figures I knew I could essentially just skim the methods section. That said it is the method that is really at the heart of this work and what makes the data so unique and interesting and the method was microbiomics. The researchers basically conducted a survey of the total microbial population during enrichment by sequencing of the total 16s rRNA amplified from all the bacteria present in the system at various time points. Importantly this sequence data was culture independent, the total microbial RNA present in the system were extracted, amplified, and sequenced without any sort of secondary or alternative enrichment. The approach also allowed for a calculation of the relative abundance of each member of the population at each time point. Also, important to point out that the samples were concentrated significantly by centrifugation at each time point prior to DNA extraction. I am not going to talk about this now but trust me this will becomes critically important later. I am working on a piece about detection that will loop back around to this and other sequencing technologies and their proponents use of the term “detection method” when describing them.
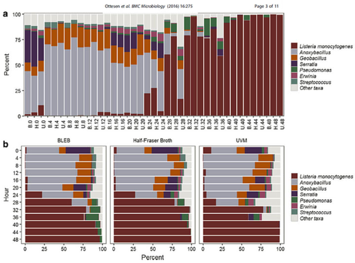
The results showed that the proportional abundance of L. mono (the pathogen of interest) remained low until about 24h of enrichment, irrespective of the enrichment media used. After about 24h the proportion or L. mono increased at each successive time-point until about 40h when it maxed out between 90%-100% of the microbial community.
This is a very important finding because it confirms what many, including myself, have long believed, that any diagnostic method for L. mono that uses an enrichment of <24h needs to be looked at skeptically and pushed extra hard in validation. The burden of proof is on the test kit/enrichment media manufacturer to show that their particular media/test works better than these three most common and widely used ones. Another interesting finding related to the relative abundance and makeup of the other members of the microbial community in these enrichments. Unsurprisingly there was a predominance of gram positives. All of the media tested are selective for L. mono (a gram positive) and therefore contain agents that selectively suppress the growth of gram negatives. They cannot have anti-gram positive agents included as they would prevent the growth of the Listeria as much as any other gram positives present and to date there are no anti gram positive selective agents known (that I am aware of) that actively suppress all or some or most gram positives except Listeria.
The gram positives present represented mostly three genera, Serratia, Streptococcus and Bacillacaeae. The most important, and problematic from a competitive flora point of view, were two members of the genera Bacillacaeae, Anoxybacillus and Geobacillus. These two Bacillus species totally dominated each of the enrichments at the earlier time points from 4–12h, making up close to 90% of the total population. Both are moderately thermophillic and seemed to be advantaged over L. mono during early incubation at 30C. Disappointingly the authors did not include any media whose incubation temperature is 37C. There are many Listeria diagnostic kit suppliers that have methods which include a single stage enrichment for Listeria that is incubated at 35–37C. These data suggest they would be disadvantaged as the thermophiles present would be expected to do even better at those higher incubation temperatures. When selecting an enrichment temperature it is always a balance between optimum in terms of lag phase and doubling time for the target organism, while at the same time making things as difficult/uncomfortable as possible for the competitive flora present.
There were a number of other interesting findings related to the population dynamics of the L. mono themselves, what happened with the Serratia and the impact of some of the other taxa present. I, however, am done with this one but encourage any interested readers to pull the paper for themselves and have a read. You will not be disappointed I promise.
About the Creator
Everyday Junglist
About me. You know how everyone says to be a successful writer you should focus in one or two areas. I continue to prove them correct.



Comments
There are no comments for this story
Be the first to respond and start the conversation.