Mathematical Modeling of the Written Universe
A Proposed Solution to the Problem of Terrible Writing

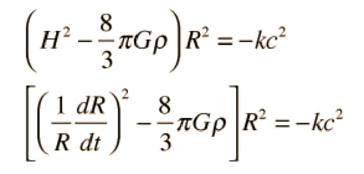
The Friedmann equation and the expanding universe
Alexander Friedmann of Russia is credited with developing a dynamic equation for the expanding universe in the 1920s. At the same time Einstein, Willem de Sitter of the Netherlands, and Georges Lemaitre of Belgium were also working on equations to model the universe. Friedmann developed his version as a relativistic equation in the framework of general relativity, but the description used here, and (in our theoretical model presented below) applied to the written universe will be limited to a simplified, non-relativistic version based on Newton’s laws. Convenient forms of Friedmann’s equation with which to examine the expansion time and temperature for a big bang model of the actual universe are shown below

Besides the density and gravitation constant G, the equation contains the Hubble parameter H, a scaling parameter R, and a factor k which is called the curvature parameter. The curvature parameter indicates whether the universe is open or closed. The above equations are highly simplified and do not specify the nature of the density ρ, nor do they include any particle interactions other than gravitational attraction. Such particle interactions, like collisions, could be specified in terms of pressure, so the model above is sometimes referred to as a “pressureless” universe. More detailed versions of the Friedman equation include such effects.
An expansionary written universe model using a modified version of Friedmann’s equation
For our written universe model we substitute for the gravitational constant G, the King Constant (K) which sets the maximum writing output possible for a single human being to produce in a lifetime. Note that K is agnostic with respect to the quality of writing produced and thus within the written universe model its effects are felt equally by both excellent and terrible writing. For the Hubble parameter H which is the unit of measurement used to describe the expansion of the universe we substitute the Harlequin Romance parameter (Hr) which will be the unit with which we describe the ever increasing amount of terrible writing in our written universe model. The scaling parameter describes the probability distribution of terrible writing within the total universe of writing. i.e. how probable is it that any given piece of written work is total crap. This value is hypothesized to be very high, perhaps approaching infinity. Since it is also then squared it is a major factor in pushing the written universe model toward an expansionary state. This brings us to the most important unknown in our model. The ultimate value of which determines the fate of our written universe.
The Chrichton Parameter
The equation which models the expanding written universe has a parameter Ck called the Chrichton parameter which is indicative of the rate of expansion of terrible writing and whether or not that expansion rate is increasing or decreasing. It indicates the future fate of all written words.
If k = 0 then the density is equal to a critical value at which the amount of total crap written will expand forever at a decreasing rate. This is often referred to as the Martin-Koontz universe in recognition of their work in modeling it. This k = 0 condition can be used to express the critical density in terms of the present value of the Harlequin Romance parameter.
For k > 0 the density is high enough that the King attraction from all writing will eventually stop the expansion of crap and it will collapse backward to a “big crunch”. This kind of written universe is described as being a closed written universe, or a King bound universe.
For k < 0 the amount of terrible writing expands forever, there not being a sufficient total amount of writing for King attraction to stop the expansion.
Remember that in our written universe model the scaling parameter is hypothesized to be nearly infinite which suggests the probability of k < 0 is very high. Thus if this model holds we almost certainly live in a written universe in which the amount of terrible writing will continue to expand forever. This very article being a fine example of why that is most likely the case.
About the Creator
Everyday Junglist
About me. You know how everyone says to be a successful writer you should focus in one or two areas. I continue to prove them correct.


Comments (1)
love it ❤️